back

Chapter 28
Chemistry of the Living State

 
 
 
Movie
Title
p 1135-3
Caption
This animation illustrates some properties of proteins amino acids.
Notes
Proteins and amino acids. The primary structure of a protein is its sequence of amino acids. The secondary structure of a protein is stabilized by hydrogen bonds between the carboxyl oxygens and the amide hydrogens of peptide groups. Free amino acids exist in their ionized forms in neutral solution. All amino acids except glycine have 4 different groups around the alpha carbon making them optically active. Only L amino acids are found in proteins.
Movie
Title
p 1135-3
Caption
The concept of chirality is illustrated in this animation.
Notes
A chiral object is not superimposable on its mirror image. A carbon atom with four different groups is chiral so it cannot be superimposed on its mirror image. Two chiral isomers are called enantiomers and are designated as either the R or the S isomer. Enantiomers have similar physical properties but behave differently in chiral environments. Many molecules have more than one chiral carbon atom.
Movie
Title
movie
Caption
The various types of isomerism are demonstrated in this animation.
Notes
Isomers are compounds that have the same chemical formula but different structural formulas. Configurational (structural) isomers differ in the locations of bonds or groups in the molecule. Stereoisomers have the same groups of atoms bonded to each other but differ in the spatial arrangements of the atoms. Geometrical (cis-trans) isomers and optical isomers are stereoisomers.
Movie
Title
movie
Caption
Animation showing the design and operation of a polarimeter.
Notes
Nonpolarized light has its electric vectors vibrating in all planes. A polarizer allows only light vibrating in a single plane to pass through it. An analyzer is used to determine if the polarized light has been rotated. An achiral solution has no effect on the plane of polarization of the light. A solution containing an excess of one enantiomer of a chiral substance causes rotation of the plane of polarization of the light.
28.1
Title
28-1
Caption
 
Notes
Elements in living matter
28.2
Title
28-2
Caption
 
Notes
cellular organization
28.3
Title
28-3
Caption
 
Notes
optical isomeers of glyceraldehyde
28.4
Title
28-4
Caption
 
Notes
view through the analyzer prism of a polarimeter
28.5
Title
28-5
Caption
 
Notes
The structure of D-(-)-erythrose
28.6
Title
28-6
Caption
 
Notes
Representation of ring closure in glucose molecule
28.7
Title
28-7
Caption
 
Notes
alpha and beta forms of D glucose
28.8
Title
28-8
Caption
 
Notes
some common disaccharides
28.9
Title
28-9
Caption
 
Notes
Two common polysaccharides
28.2
Title
28-2
Caption
 
Notes
Experimental determination of amino acid sequence
28.11
Title
28-11
Caption
 
Notes
Amino acid sequence in beef insulin
28.12
Title
28-12
Caption
 
Notes
Secondary structure of a protein-an helix
28.13
Title
28-13
Caption
 
Notes
Pleated-sheet model of beta-keratin
28.14
Title
28-14
Caption
 
Notes
Linkages contributing to the tertiary sturcture of proteins
28.15
Title
28-15
Caption
 
Notes
Representation of the tertiary structure of myglobin
28.16
Title
28-16
Caption
 
Notes
The four levels of protein structure
28.17
Title
28-17
Caption
 
Notes
metabolism outline
28.18
Title
28-18
Caption
 
Notes
Converstion of ADP to ATP
28.19
Title
28-19
Caption
 
Notes
Sucrase binding a scrose molecule
28.20
Title
28-20
Caption
 
Notes
Change in enzyme conformation after binding of substrate
28.21
Title
28-21
Caption
 
Notes
Completion of the enzyme-catzlyzed reaction
28.22
Title
28-22
Caption
 
Notes
structure of carboxypeptidase
28.23
Title
28-23
Caption
 
Notes
Binding of protein to the active site of carboxypeptidase
28.24
Title
28-24
Caption
 
Notes
Constituents of nucleic acids
28.25
Title
28-25
Caption
 
Notes
A protion of a nucleic acid chain
28.26
Title
28-26
Caption
 
Notes
DNA model
28.27
Title
28-27
Caption
 
Notes
Replciation of a DNA molecule
28.28
Title
28-28
Caption
 
Notes
Protein synthesis
p 1124-1
Title
p 1124-1
Caption
 
Notes
Glyerol and fatty acid
p 1124-1a
Title
p 1124-1a
Caption
 
Notes
Glycerol tripalmitate, glycerol tiroleate and glycerol lauropalmitostearate
p 1125-1
Title
p 1125-1
Caption
 
Notes
Tristerarin, glycerol and potassium stearate
p 1125-1a
Title
p 1125-1a
Caption
 
Notes
3-hydrocy-2-butanone and diacetly
p 1126-1
Title
p 1126-1
Caption
 
Notes
olestra and triglyceride
p 1126-1a
Title
p 1126-1a
Caption
 
Notes
corn oil photo
p 1127-1
Title
p 1127-1
Caption
 
Notes
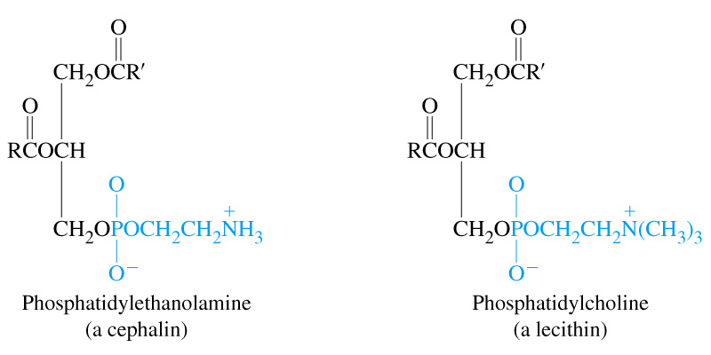
phosphatidylethanolamine and phosphatidylcholine
p 1127-1a
Title
p 1127-1a
Caption
 
Notes
a cell membrane
p 1127-1b
Title
p 1127-1b
Caption
 
Notes
glocose and fructose
p 1129-1
Title
p 1129-1
Caption
 
Notes
Ficher projections
p 1130-1
Title
p 1130-1
Caption
 
Notes
S and R L and D glyceraldehyde
p 1130-1a
Title
p 1130-1a
Caption
 
Notes
D and L Erythrose and threose
p 1130-1b
Title
p 1130-1b
Caption
 
Notes
D erythrose and Threose
p 1130-1c
Title
p 1130-1c
Caption
 
Notes
photo of Emil Fischer
p 1133-1
Title
p 1133-1
Caption
 
Notes
cellobiose
p 1135-1a
Title
p 1135-1a
Caption
 
Notes
an L-amino acid
p 1136-1
Title
p 1136-1
Caption
 
Notes
Acid to basic solution
p 1137-1
Title
p 1137-1
Caption
 
Notes
peptide bond formation
p 1137-1a
Title
p 1137-1a
Caption
 
Notes
naming a polypeptide
p 1142-1
Title
p 1142-1
Caption
 
Notes
missing no name
p 1144-1
Title
1144-1
Caption
 
Notes
The structure of glyceralde-hyde-3-phosphate
p 1144-1a
Title
p 1144-1a
Caption
 
Notes
ADP/ATP conversion
p 1145-1
Title
p 1145-1
Caption
 
Notes
Hydrolysis of sucrose
p 1147-1
Title
p 1147-1
Caption
 
Notes
peptide linkage being broken
p 1152-1
Title
p 1152-1
Caption
 
Notes
the genetic code
p 1154-1a
Title
p 1154-1a
Caption
 
Notes
Structure of L-threonine
p 1154-1b
Title
p 1154-1b
Caption
 
Notes
problem 1
p 1154-1b
Title
p 1154-1b
Caption
 
Notes
problem 2
p 1155-1a
Title
p 1155-1a
Caption
 
Notes
problem 4
p 1155-1b
Title
p 1155-1b
Caption
 
Notes
problem 5
p 1156-1
Title
p 1156-1
Caption
 
Notes
problem 23
P 1157-1a
Title
P 1157-1a
Caption
 
Notes
problem 31
P 1157-1b
Title
P 1157-1b
Caption
 
Notes
problem 32
P 1157-1c
Title
P 1157-1c
Caption
 
Notes
problem 33
P 1157-1d
Title
P 1157-1d
Caption
 
Notes
problem 34
p 1159-1
Title
p 1159-1
Caption
 
Notes
problem 60
p 1160-1
Title
p 1160-1
Caption
 
Notes
problem 71
Table 28.1
Title
Table 28.1
Caption
 
Notes
Some common fatty acids
Table 28.2
Title
Table 28.2
Caption
 
Notes
some common fats and oils
Table 28.3
Title
Table 28.3
Caption
 
Notes
Some common amino acids